联系我们 | 返回首页

上海日耐泵业有限公司
电话:021-56378177
传真:021-56377916
电子邮箱:shrnby@163.com
地址:上海市普陀区武威东路788弄26号
企业新闻
当前位置:首页 > 新闻中心 > 企业新闻

隔膜泵浅析地面驱动螺杆泵井合理生产参数

作者:隔膜泵 来源:www.shrnby.com 浏览次数:2033

    为了合理配置螺杆泵井的生产参数,使井和泵匹配,基于螺杆泵温度场以及泵内流体压力分布规律,以定子工作条件和泵举升性能为依据,建立了地面驱动螺杆泵井方案校核方法,绘制了方案校核图版。将生产方案划分为“合理方案区”、“烧泵区”和“泵‘击穿’区”,提出了高效点和系统效率曲线相结合的生产参数优选方法,并以真实油井为例进行了计算分析。结果表明:高转速和高下泵深度会增加定子温度和泵举升高度,当其超过螺杆泵的临界使用值时即会引发“烧泵”和泵“击穿”现象。在现场应用中应根据方案校核图版上的高效点和系统效率曲线优选最佳生产参数组合,避开烧泵区和泵“击穿”区,以延长螺杆泵井的检泵周期,提高经济效益。


    地面驱动螺杆泵井采油技术作为一种新兴的人工举升方式,因其具有较高的适应性,在国内外油田得到了广泛的应用。“十二五”期间,国内螺杆泵的自主研发已成熟配套,但在现场实际应用中,因对螺杆泵的特性和井的生产能力认识不足,导致螺杆泵井的生产参数选择不合理.目前,地面驱动螺杆泵井运行面临的最大问题是烧泵现象.如何提高泵的寿命,延长检泵周期是石油工作者亟需解决的问题[2].近年来,国内外专家学者在井泵的匹配以及螺杆泵井的诊断与自动调控系统的开发方面做了大量的工作,取得了一定的成果.笔者前期对螺杆泵定转子温度场分布以及泵内流体压力和温度的分布规律进行了研究.文中在此基础上建立地面驱动螺杆泵系统工况校核方法,对不同生产参数组合进行校核分析,根据系统效率曲线优选最佳生产参数组合,并将计算结果绘制成方案校核图版。


    1、数学模型


    1.1、定子生热率模型


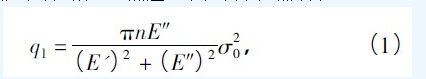
    螺杆泵定子衬套橡胶具有黏弹性,在其变形过程中,一部分能量被储存,另一部分能量被损耗转化成热量(滞后生热),使温度升高.转子旋转过程中单位时间内定子单元体产生的热量,即平均节点生热率为


    地面驱动螺杆泵井合理生产参数配置方法

隔膜泵,上海隔膜泵
    式中:E'为黏弹性材料在形变过程中由于弹性变形而储存的能量,即储能模量,E'=σ0/ε0cosα,MPa;E″为黏弹性材料在形变过程中由于黏性变形(不可逆)而损耗的能量,即损耗模量,E″=σ0/ε0sinα,MPa;n为转子转速,r/s;σ0为定子衬套节点的最大应力,MPa;ε0为定子衬套节点的最大应变;α为黏弹性材料在形变过程中应力落后于应变的角度,即滞后角,rad。

    1.2、摩擦生热模型


    螺杆泵定转子之间为过盈配合,转子自转的同时在定子型腔内做周期往复运动,转子1个转动周期内定转子摩擦产生的热量为


    地面驱动螺杆泵井合理生产参数配置方法


    结论


    1)通过对螺杆泵定、转子温度,泵内流体压力和温度耦合求解,还原了实际生产条件下螺杆泵的井下工况.


    2)基于定子温度要求和泵举升性能要求,建立了螺杆泵井生产方案安全校核方法.将螺杆泵井生产方案划分为“合理方案区”、“烧泵区”和“泵‘击穿’区”,绘制了方案校核图版.


    3)随着下泵深度和转速增大,螺杆泵定子温度和增压幅度上升,当其高于临界值时,则会出现“烧泵”或泵“击穿”现象.借助新绘制的校核图版,可以避开“烧泵区”和“泵‘击穿’区”,并能选择最佳生产参数组合.
上一篇:泵阀行业的未来发展将呈现绿色环保新趋势
下一篇:隔膜泵主要类型通过接受调制单元输出信号
首页|关于我们|产品展示|售后服务|诚聘英才|技术支持|联系我们
营销总部电话:021-56378177 传真:021-56377916 客服QQ:2605330408 客服信箱:shrnby@163.com
上海日耐泵业有限公司 www.shrnby.com 备案号:沪ICP备09058026号-2;

沪公网安备 31010702001994号